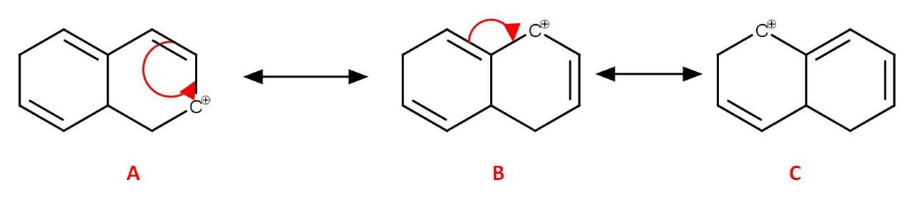
Check draw two resonance structures of the cation shown below. Only move one double bond. Draw two resonance structures of the cation shown below shifting only one electron pair in each step. Be sure to include the formal charge on structures B and C. Check also: cation and draw two resonance structures of the cation shown below A Draw two resonance structures of the cation shown below shifting only one electron pair in each step.
B Use curved-arrow notation on the given structure A to show its conversion to structure B and then on structure B to show its conversion to structure C. Be sure to include the formal charge on structures B and C.

A Draw Two Resonance Structures Of The C Clutch Prep Each resonance structure should contain only one charge- positive charge.
| Topic: Be sure to include the formal charge on structures B and C. A Draw Two Resonance Structures Of The C Clutch Prep Draw Two Resonance Structures Of The Cation Shown Below |
| Content: Answer Sheet |
| File Format: DOC |
| File size: 725kb |
| Number of Pages: 15+ pages |
| Publication Date: February 2019 |
| Open A Draw Two Resonance Structures Of The C Clutch Prep |
Draw all reasonable resonance structures for the radical shown below.


Drawing Resonance Structures 3 Mon Mistakes To Avoid A Draw two resonance structures of the cation shown below shifting only one electron pair in each step.
| Topic: Each resonance structure should contain only one chargea positive charge. Drawing Resonance Structures 3 Mon Mistakes To Avoid Draw Two Resonance Structures Of The Cation Shown Below |
| Content: Summary |
| File Format: PDF |
| File size: 1.4mb |
| Number of Pages: 22+ pages |
| Publication Date: December 2021 |
| Open Drawing Resonance Structures 3 Mon Mistakes To Avoid |

Four Resonance Structures Of The Following Cation Are Chegg Exercise 9 Draw the structure of the most important resonance contributor to the cation that would be formed by protonation of 1-methoxypropyne at ceC-2.
| Topic: Be sure to include the formal. Four Resonance Structures Of The Following Cation Are Chegg Draw Two Resonance Structures Of The Cation Shown Below |
| Content: Explanation |
| File Format: PDF |
| File size: 3.4mb |
| Number of Pages: 50+ pages |
| Publication Date: October 2019 |
| Open Four Resonance Structures Of The Following Cation Are Chegg |

A Draw Two Resonance Structures Of The Cation Chegg The Role of Orbital Size Since resonance interactions involve orbital overlap it should not come as a surprise that the extent of stabilization afforded by resonance depends at least in part on the degree of overlap between.
| Topic: 14a Draw two resonance structures of the cation shown below shifting only one electron pair in each step. A Draw Two Resonance Structures Of The Cation Chegg Draw Two Resonance Structures Of The Cation Shown Below |
| Content: Analysis |
| File Format: Google Sheet |
| File size: 6mb |
| Number of Pages: 6+ pages |
| Publication Date: September 2018 |
| Open A Draw Two Resonance Structures Of The Cation Chegg |

Please Help Me In This Two Sections Asap A Draw Two Resonance Structures Of The Cation Shown Shifting O Homeworklib Each resonance structure should contain only one charge-a positive charge.
| Topic: Draw two resonance structures of the cation shown below. Please Help Me In This Two Sections Asap A Draw Two Resonance Structures Of The Cation Shown Shifting O Homeworklib Draw Two Resonance Structures Of The Cation Shown Below |
| Content: Answer |
| File Format: PDF |
| File size: 800kb |
| Number of Pages: 22+ pages |
| Publication Date: January 2017 |
| Open Please Help Me In This Two Sections Asap A Draw Two Resonance Structures Of The Cation Shown Shifting O Homeworklib |

Three Resonance Structures Of The Following Cation Chegg Draw two resonance structures of the cation shown below shifting only one electron pair in each step.
| Topic: A Draw two resonance structures of the cation shown below shifting only one electron pair in each step. Three Resonance Structures Of The Following Cation Chegg Draw Two Resonance Structures Of The Cation Shown Below |
| Content: Answer |
| File Format: PDF |
| File size: 2.8mb |
| Number of Pages: 5+ pages |
| Publication Date: February 2019 |
| Open Three Resonance Structures Of The Following Cation Chegg |

Draw Two Resonance Structures Of The Cation Shown Chegg Be sure to include the formal charge on structures B and C.
| Topic: Draw Two Resonance Structures Of The Cation Shown Chegg Draw Two Resonance Structures Of The Cation Shown Below |
| Content: Learning Guide |
| File Format: Google Sheet |
| File size: 1.5mb |
| Number of Pages: 8+ pages |
| Publication Date: April 2021 |
| Open Draw Two Resonance Structures Of The Cation Shown Chegg |

A Draw Two Resonance Structures Of The C Clutch Prep
| Topic: A Draw Two Resonance Structures Of The C Clutch Prep Draw Two Resonance Structures Of The Cation Shown Below |
| Content: Analysis |
| File Format: DOC |
| File size: 6mb |
| Number of Pages: 23+ pages |
| Publication Date: December 2017 |
| Open A Draw Two Resonance Structures Of The C Clutch Prep |

Draw Two Resonance Structures Of The Cation Shown Chegg
| Topic: Draw Two Resonance Structures Of The Cation Shown Chegg Draw Two Resonance Structures Of The Cation Shown Below |
| Content: Answer Sheet |
| File Format: DOC |
| File size: 1.8mb |
| Number of Pages: 10+ pages |
| Publication Date: September 2021 |
| Open Draw Two Resonance Structures Of The Cation Shown Chegg |

2 Resonance Structures Homeworklib
| Topic: 2 Resonance Structures Homeworklib Draw Two Resonance Structures Of The Cation Shown Below |
| Content: Learning Guide |
| File Format: DOC |
| File size: 3.4mb |
| Number of Pages: 23+ pages |
| Publication Date: November 2020 |
| Open 2 Resonance Structures Homeworklib |

Three Resonance Structures Of The Following Cation Chegg
| Topic: Three Resonance Structures Of The Following Cation Chegg Draw Two Resonance Structures Of The Cation Shown Below |
| Content: Analysis |
| File Format: PDF |
| File size: 5mb |
| Number of Pages: 15+ pages |
| Publication Date: December 2020 |
| Open Three Resonance Structures Of The Following Cation Chegg |

Four Resonance Structures Of The Following Cation Are Possible Two Resonance Forms Are Given Below But Are Inplete Plete The Given Structures Adding Nonbonding Electrons And Formal Charges Draw The Two
| Topic: Four Resonance Structures Of The Following Cation Are Possible Two Resonance Forms Are Given Below But Are Inplete Plete The Given Structures Adding Nonbonding Electrons And Formal Charges Draw The Two Draw Two Resonance Structures Of The Cation Shown Below |
| Content: Solution |
| File Format: Google Sheet |
| File size: 5mb |
| Number of Pages: 5+ pages |
| Publication Date: July 2020 |
| Open Four Resonance Structures Of The Following Cation Are Possible Two Resonance Forms Are Given Below But Are Inplete Plete The Given Structures Adding Nonbonding Electrons And Formal Charges Draw The Two |
Its really easy to get ready for draw two resonance structures of the cation shown below A draw two resonance structures of the cation chegg please help me in this two sections asap a draw two resonance structures of the cation shown shifting o homeworklib four resonance structures of the following cation are chegg 2 resonance structures homeworklib three resonance structures of the following cation chegg three resonance structures of the following cation chegg four resonance structures of the following cation are possible two resonance forms are given below but are inplete plete the given structures adding nonbonding electrons and formal charges draw the two drawing resonance structures 3 mon mistakes to avoid

0 Comments